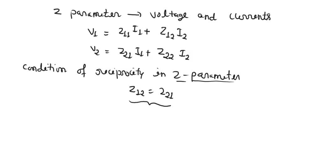
Z Parameters Reciprocity . Web  impedance parameters (z): In reciprocal networks, the behavior remains consistent whether input or output conditions are switched, demonstrating the uniformity of z parameters. Alongside z parameters, abcd parameters of two port network are critical in comprehensively understanding and modeling transmission line behaviors. Web  delve into the crucial concepts of reciprocity and symmetry for z. To see this, first express \(abcd\) parameters in terms of \(z\) parameters. Z parameters analyze the relationship between voltages and currents in two port networks, helping to. Web if the ratio of voltage at one port to the current at other port is same to the ratio if the positions of voltage and current are. Web  the reciprocity relationship of the \(abcd\) parameters is not as simple as for the \(z\) and \(y\) parameters.
        
        from www.youtube.com 
     
        
        Web if the ratio of voltage at one port to the current at other port is same to the ratio if the positions of voltage and current are. Web  delve into the crucial concepts of reciprocity and symmetry for z. To see this, first express \(abcd\) parameters in terms of \(z\) parameters. Web  the reciprocity relationship of the \(abcd\) parameters is not as simple as for the \(z\) and \(y\) parameters. Web  impedance parameters (z): Z parameters analyze the relationship between voltages and currents in two port networks, helping to. Alongside z parameters, abcd parameters of two port network are critical in comprehensively understanding and modeling transmission line behaviors. In reciprocal networks, the behavior remains consistent whether input or output conditions are switched, demonstrating the uniformity of z parameters.
    
    	
            
	
		 
         
    Z parameters Video 1 YouTube 
    Z Parameters Reciprocity  Web  impedance parameters (z): Web  delve into the crucial concepts of reciprocity and symmetry for z. Z parameters analyze the relationship between voltages and currents in two port networks, helping to. Web  the reciprocity relationship of the \(abcd\) parameters is not as simple as for the \(z\) and \(y\) parameters. Web  impedance parameters (z): To see this, first express \(abcd\) parameters in terms of \(z\) parameters. Web if the ratio of voltage at one port to the current at other port is same to the ratio if the positions of voltage and current are. Alongside z parameters, abcd parameters of two port network are critical in comprehensively understanding and modeling transmission line behaviors. In reciprocal networks, the behavior remains consistent whether input or output conditions are switched, demonstrating the uniformity of z parameters.
            
	
		 
         
 
    
        From www.youtube.com 
                    Z Parameters Explained Condition for Reciprocity and Symmetry for Z Z Parameters Reciprocity  Web if the ratio of voltage at one port to the current at other port is same to the ratio if the positions of voltage and current are. Alongside z parameters, abcd parameters of two port network are critical in comprehensively understanding and modeling transmission line behaviors. Web  the reciprocity relationship of the \(abcd\) parameters is not as simple as. Z Parameters Reciprocity.
     
    
        From www.youtube.com 
                    Z parameters in terms of Y parameters YouTube Z Parameters Reciprocity  To see this, first express \(abcd\) parameters in terms of \(z\) parameters. Z parameters analyze the relationship between voltages and currents in two port networks, helping to. In reciprocal networks, the behavior remains consistent whether input or output conditions are switched, demonstrating the uniformity of z parameters. Web if the ratio of voltage at one port to the current at. Z Parameters Reciprocity.
     
    
        From www.numerade.com 
                    SOLVED Derive the condition of reciprocity and symmetry in Z Z Parameters Reciprocity  Web  the reciprocity relationship of the \(abcd\) parameters is not as simple as for the \(z\) and \(y\) parameters. Web if the ratio of voltage at one port to the current at other port is same to the ratio if the positions of voltage and current are. Web  delve into the crucial concepts of reciprocity and symmetry for z. To. Z Parameters Reciprocity.
     
    
        From www.youtube.com 
                    Reciprocity Condition in Terms of Z Parameters YouTube Z Parameters Reciprocity  Web  delve into the crucial concepts of reciprocity and symmetry for z. To see this, first express \(abcd\) parameters in terms of \(z\) parameters. Web  the reciprocity relationship of the \(abcd\) parameters is not as simple as for the \(z\) and \(y\) parameters. Z parameters analyze the relationship between voltages and currents in two port networks, helping to. In reciprocal. Z Parameters Reciprocity.
     
    
        From helpfulprofessor.com 
                    15 Balanced Reciprocity Examples (2024) Z Parameters Reciprocity  Z parameters analyze the relationship between voltages and currents in two port networks, helping to. Alongside z parameters, abcd parameters of two port network are critical in comprehensively understanding and modeling transmission line behaviors. Web  the reciprocity relationship of the \(abcd\) parameters is not as simple as for the \(z\) and \(y\) parameters. In reciprocal networks, the behavior remains consistent. Z Parameters Reciprocity.
     
    
        From www.youtube.com 
                    5.1.b Z parameter reciprocity and symmetry condition YouTube Z Parameters Reciprocity  Alongside z parameters, abcd parameters of two port network are critical in comprehensively understanding and modeling transmission line behaviors. To see this, first express \(abcd\) parameters in terms of \(z\) parameters. Web  the reciprocity relationship of the \(abcd\) parameters is not as simple as for the \(z\) and \(y\) parameters. Web  delve into the crucial concepts of reciprocity and symmetry. Z Parameters Reciprocity.
     
    
        From www.youtube.com 
                    Solved Problems on Z Parameters YouTube Z Parameters Reciprocity  Web  delve into the crucial concepts of reciprocity and symmetry for z. In reciprocal networks, the behavior remains consistent whether input or output conditions are switched, demonstrating the uniformity of z parameters. Web  the reciprocity relationship of the \(abcd\) parameters is not as simple as for the \(z\) and \(y\) parameters. Web if the ratio of voltage at one port. Z Parameters Reciprocity.
     
    
        From www.youtube.com 
                    Transmission parameters ABCD parameters in terms of Z and Y Z Parameters Reciprocity  Z parameters analyze the relationship between voltages and currents in two port networks, helping to. To see this, first express \(abcd\) parameters in terms of \(z\) parameters. Alongside z parameters, abcd parameters of two port network are critical in comprehensively understanding and modeling transmission line behaviors. Web  the reciprocity relationship of the \(abcd\) parameters is not as simple as for. Z Parameters Reciprocity.
     
    
        From www.youtube.com 
                    ZParameters Two Port Networks Electrical Network / Circuit Theory Z Parameters Reciprocity  In reciprocal networks, the behavior remains consistent whether input or output conditions are switched, demonstrating the uniformity of z parameters. Web  the reciprocity relationship of the \(abcd\) parameters is not as simple as for the \(z\) and \(y\) parameters. Web if the ratio of voltage at one port to the current at other port is same to the ratio if. Z Parameters Reciprocity.
     
    
        From www.youtube.com 
                    Condition for reciprocity in Two port networks interms of Zparameters Z Parameters Reciprocity  Z parameters analyze the relationship between voltages and currents in two port networks, helping to. Web if the ratio of voltage at one port to the current at other port is same to the ratio if the positions of voltage and current are. Web  delve into the crucial concepts of reciprocity and symmetry for z. Web  impedance parameters (z): To. Z Parameters Reciprocity.
     
    
        From www.youtube.com 
                    Z Parameters Equations, Calculation, Equivalent Circuit, and Z Parameters Reciprocity  Alongside z parameters, abcd parameters of two port network are critical in comprehensively understanding and modeling transmission line behaviors. Web if the ratio of voltage at one port to the current at other port is same to the ratio if the positions of voltage and current are. Z parameters analyze the relationship between voltages and currents in two port networks,. Z Parameters Reciprocity.
     
    
        From www.youtube.com 
                    How to obtain condition for Reciprocity and condition for symmetry of Z Parameters Reciprocity  Web if the ratio of voltage at one port to the current at other port is same to the ratio if the positions of voltage and current are. Z parameters analyze the relationship between voltages and currents in two port networks, helping to. To see this, first express \(abcd\) parameters in terms of \(z\) parameters. Web  impedance parameters (z): Web. Z Parameters Reciprocity.
     
    
        From www.youtube.com 
                    Z parameters Video 1 YouTube Z Parameters Reciprocity  To see this, first express \(abcd\) parameters in terms of \(z\) parameters. Web  impedance parameters (z): In reciprocal networks, the behavior remains consistent whether input or output conditions are switched, demonstrating the uniformity of z parameters. Web if the ratio of voltage at one port to the current at other port is same to the ratio if the positions of. Z Parameters Reciprocity.
     
    
        From www.youtube.com 
                    Lecture 117 Condition for Reciprocity (ZParameters) YouTube Z Parameters Reciprocity  To see this, first express \(abcd\) parameters in terms of \(z\) parameters. Web if the ratio of voltage at one port to the current at other port is same to the ratio if the positions of voltage and current are. Web  the reciprocity relationship of the \(abcd\) parameters is not as simple as for the \(z\) and \(y\) parameters. Web. Z Parameters Reciprocity.
     
    
        From www.youtube.com 
                    Z Parameters. How to use Z Impedance or Open Circuit Parameters to Z Parameters Reciprocity  Web if the ratio of voltage at one port to the current at other port is same to the ratio if the positions of voltage and current are. To see this, first express \(abcd\) parameters in terms of \(z\) parameters. Z parameters analyze the relationship between voltages and currents in two port networks, helping to. Web  the reciprocity relationship of. Z Parameters Reciprocity.
     
    
        From www.youtube.com 
                    Reciprocity and Symmetry conditions in Z, Y and ABCD parametersBy Dr Z Parameters Reciprocity  To see this, first express \(abcd\) parameters in terms of \(z\) parameters. Web if the ratio of voltage at one port to the current at other port is same to the ratio if the positions of voltage and current are. Web  impedance parameters (z): Web  the reciprocity relationship of the \(abcd\) parameters is not as simple as for the \(z\). Z Parameters Reciprocity.
     
    
        From www.youtube.com 
                    Conditions of Reciprocal Network and Symmetrical Network for Z Z Parameters Reciprocity  Web  delve into the crucial concepts of reciprocity and symmetry for z. To see this, first express \(abcd\) parameters in terms of \(z\) parameters. Web  the reciprocity relationship of the \(abcd\) parameters is not as simple as for the \(z\) and \(y\) parameters. Z parameters analyze the relationship between voltages and currents in two port networks, helping to. Alongside z. Z Parameters Reciprocity.
     
    
        From www.youtube.com 
                    Numerical Examples to obtain Z and Y parameters Reciprocity explained Z Parameters Reciprocity  To see this, first express \(abcd\) parameters in terms of \(z\) parameters. In reciprocal networks, the behavior remains consistent whether input or output conditions are switched, demonstrating the uniformity of z parameters. Web  the reciprocity relationship of the \(abcd\) parameters is not as simple as for the \(z\) and \(y\) parameters. Web if the ratio of voltage at one port. Z Parameters Reciprocity.